Welcome to Changzhou Kewen Sensor Material Co., Ltd.Official website!
1 Zero power resistance value
At the specified temperature, the resistance value measured with the measurement power that causes the resistance change to be negligible relative to the total measurement error.
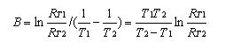
2 β value
The β value is the thermal sensitivity index of the negative temperature coefficient thermistor, which is defined as the ratio of the natural logarithmic difference of the zero power resistance value at two temperatures to the difference between the reciprocal of the two temperatures.

In the formula: RT1 —— the zero power resistance value when the temperature is T1
RT2 ——The zero power resistance value when the temperature is T2
Unless otherwise specified, the β value is calculated from the zero resistance values of 25°C (298.15K) and 50°C (323.15K). The β value is not a strict constant within the operating temperature range.
3 Dissipation coefficient
Under the specified ambient temperature, the ratio of the change of the thermistor’s dissipation power to its corresponding temperature change, namely:
Within the operating temperature range, δ varies with the ambient temperature.
4 Thermal time constant
Under zero power conditions, when the temperature changes suddenly, the temperature of the thermistor body changes 63.2% of the time required for the difference between the two temperatures. τ is directly proportional to the thermal capacity C of the thermistor, and inversely proportional to its dissipation coefficient δ, namely:
5 Resistance-temperature characteristics
The dependence between the zero power resistance value of the thermistor and the temperature of the resistor body.

6 Table of resistance temperature characteristics of commonly used sensors

TEL:0519 - 83906992 E-mail:info@cn-kewen.com ADD:No. 65-24, Xinggang Road, Zhonglou Development Zone, Changzhou City, Jiangsu Province
Scan